Persamaan linear 3 variabel

 Nama: Zahra Ediana

Kelas: X IPS 1


PERSAMAAN LINEAR 3 VARIABEL


Sistem persamaan linear dua variabel (SPLDV) adalah pasangan dari dua nilai peubah x atau y yang ekuivalen dengan bentuk umumnya yang mempunyai pasangan terurut (xo, yo). Bentuk umum dari SPLDV adalah sebagai berikut : 

ax + by = p

cx + dy = q

Sedangkan solusi dari hasil bentuk umum di atas disebut (xo,yo) disebut himpunan penyelesaiannya. Contoh SPLDV adalah sebagai berikut : 

3x + 2y = 10

9x – 7y = 43

Dan Himpunan Penyelesaiannya adalah {(x,y) (4,-1)}.

contoh soal 1 : 

Tentukan himpunan penyelesaian dibawah ini menggunakan metode grafik.

2x – y = 2

x + y = 4

pembahasan : 


Titik potong kedua garis yang diperoleh adalah (2,2). Jadi himpunan penyelesaiannya dari sistem persamaan tersebut adalah (2,2).

contoh soal 2 :

Carilah himpunan penyelesaian dari SPLDV berikut ini : 

3x + 5y = 21

2x – 7y = 45

penyelesaian : 



Jadi, Himpunan Penyelesaiannya adalah {12,-3}.

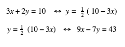
contoh soal 3 : 

Carilah himpunan penyelesaian dari SPLDV berikut ini : 

3x + 2y = 10

9x – 7y = 43

penyelesaian : 




Jadi, Himpunan penyelesaiannya adalah {4, -1}.

contoh soal 4 : 

Carilah Himpunan penyelesaian dari SPLDV berikut ini :

4 (x-1) + y = 5x – 3y + 6

3x – 2y – 4 = 2x + 2

Penyelesaian : 

Jabarkan persamaan di atas terlebih dahulu sehingga didapat persamaan yang sederhana : 

4 (x-1) + y = 5x – 3y + 6

4x – 4 + y = 5x – 3y + 6

x – 4y = -10…………………….(1)

3x – 2y – 4 = 2x + 2

   3x – 2y + 4 = 2x + 2

x – 2y = -2 …………………. (2)


Jadi, himpunan penyelesaiannya adalah {6,-2}


Komentar